1.5.1 Veličiny a jednotky charakterizující zdroje záření

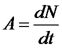
U radionuklidových zdrojů se množství radioaktivní látky charakterizuje aktivitou A. Aktivita radioaktivní látky je počet radioaktivních přeměn v této látce vztažený na jednotku času.

image001

A - aktivita;

dN - střední počet samovolných jaderných přeměn z daného energetického stavu v určitém množství radioaktivní látky;

dt - časový interval.

Jednotkou aktivity je s-1, becquerel (Bq).

Tato jednotka je malá (znamená jednu přeměnu za sekundu), proto se v praxi vesměs používají její násobky (1 kBq, 1 MBq, 1 GBq).

K přesnější charakteristice radionuklidu je nutné vztáhnout aktivitu k vhodné hmotnostní, objemové nebo plošné jednotce (například na kg, m3 , m2). Pak obdržíme:

  • hmotnostní aktivitu am (Bq.kg-1);
  • objemovou aktivitu av (Bq.m-3);
  • plošnou aktivitu as (Bq.m-2).

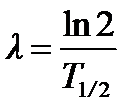
Aktivita A radionuklidu není veličina konstantní, ale klesá s časem podle exponenciálního vztahu:

image002

A0 - aktivita radionuklidu v čase t = 0;

At - aktivita radionuklidu v v čase t;

l - přeměnová konstanta;

e - Eulerovo číslo, základ přirozených logaritmů (e = 2,71);

t - časový interval.

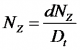
Přeměnová konstanta λ vyjadřuje pravděpodobnost jaderné přeměny, která je pro každé radioaktivní jádro charakteristická. Je to konstanta úměrnosti mezi úbytkem počtu radioaktivních jader způsobeným samovolnou přeměnou za určitou dobu a celkovým počtem (nepřeměněných) radioaktivních jader.

image003

l - přeměnová konstanta;

ln 2 - přirozený logaritmus 2;

T1/2 - fyzikální poločas radionuklidu.

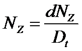
Uvedené veličiny nelze použít u jiných než radionuklidových zdrojů, např. u rentgenek, urychlovačů aj. V těchto případech se používá veličina emise zdroje, která je definována jako podíl počtu částic dNz emitovaných ze zdroje v časovém intervalu dt a tohoto časového intervalu.

image004

NZ - emise zdroje;

dNz - počet částic emitovaných ze zdroje;

dt - časový interval.

Jednotkou emise zdroje je s-1.

Pokud zdroj neemituje záření izotropně, jak je tomu např. u urychlovačů (úzký svazek záření) nebo někdy u radionuklidových zdrojů v podobě pevných zářičů různého tvaru, použije se veličina úhlová emise zdroje, tj. emise zdroje vztažená na jednotkový prostorový úhel.

Jednotkou úhlové emise zdroje je s-1sr-1.

 
 

powered by sirdik