7.3.3 Interakce s látkou

Při průchodu látkou ionizující záření interaguje s okolními atomy a jádry daného prostředí různými procesy, které závisí na druhu záření, jeho energii a na složení látky. Z hlediska povahy interakce je na místě uvažovat zvlášť přímo ionizující záření a nepřímo ionizující záření. Zatímco první druh záření ztrácí svou energii více méně kontinuálně a tedy vykazuje určitý dosah, u nepřímo ionizujícího záření nelze mluvit o dosahu, neboť jeho jednotlivé částice (např. kvanta gama nebo X, resp. neutrony) interagují s určitou pravděpodobností. Přitom při jedné interakci mohou předat i podstatnou část své energie. Jejich průchod látkou lze charakterizovat mírou jejich zeslabení, např. polotloušťkou, což je vrstva materiálu, která zeslabí svazek záření na polovinu své původní hodnoty.

Přímo ionizující záření kromě excitace atomů prostředí vyvolává ionizací atomů. V případě lehkých energetických nabitých částic může rovněž dojít k emisi brzdného záření. Na druhé straně nepřímo ionizující záření vyvolává excitaci a ionizaci prostřednictvím sekundárních nabitých částic, které jsou výsledkem jeho interakcí s atomy a jádry.

Hlavní interakční procesy u přímo ionizujícího a nepřímo ionizujícího záření jsou shrnuty na obr. 8. Z hlediska pronikavé schopnosti obou typů záření jsou tedy důležité takové jejich parametry, jako je dosah u nabitých částic a poloutloušťka u nenabitých částic.

Rozdíl v interakci přímo ionizujícího záření (obr. 9) a nepřímo ionizujícího záření (obr. 10) má bezprostřední souvislost se zajištěním dostatečné ochrany osob před jeho škodlivými účinky

 

Hlavní interakční procesy přímo a nepřímo ionizujícího záření

Obr. 8. Hlavní interakční procesy přímo a nepřímo ionizujícího záření

 

Stěžejní interakce nabitých částic s látkou

Obr. 9. Stěžejní interakce nabitých částic s látkou

 

Nejdůležitější interakce záření gama a X s látkou

Obr. 10. Nejdůležitější interakce záření gama a X s látkou

 

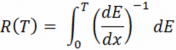
Dosah těžkých nabitých částic o kinetické energii T je možné stanovit na základě vyjádření

image001

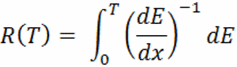
Přitom pro brzdnou schopnost těžkých nabitých částic lze na základě relativistické kvantové mechaniky odvodit následující vztah

image002

kde použité symboly mají následující význam:

k0 = 8,99.109 Nm2C-2, z - atomové číslo těžké částice, e - náboj elektronu, n - počet elektronů v jednotce objemu absorbátoru, m - klidová hmotnost elektronu, c - rychlost světla ve vakuu, β=v/c - rychlost uvažované nabité částice k rychlosti světla, I - střední excitační potenciál absorbátoru.

V praxi pro stanovení dosahu částic postačí někdy jednodušší vztahy. Tak např. pro částice alfa ve vzduchu o teplotě 15 ˚C a normálním atmosférickém tlaku je tento dosah v cm dán vztahy

Rα = 0,56 E, pro E < 4 MeV

Rα = 1,24E - 2,62, pro 4 < E < 5 MeV.

 
 

powered by sirdik